728x90
월요일!
금요일에 이어 머신러닝 들어간다~
Weak AI의 머신러닝 기법들 : 지도 학습, 비지도 학습, 강화 학습

1. Regression(회귀) : 데이터에 영향을 주는 조건들의 영향력을 고려해서, 데이터에 대한 조건부 평균을 구하는 기법

* 평균을 구할 때 주의해야 할 점 : 평균을 구하는 데이터에 이상치가 있을 경우 대표값으로 사용하기 어려움. 정규분포여야 함!
고전적 선형 회귀 모델(Classical Linear Regression Model)

단순 선형 회귀(Simple Linear Regression)
import numpy as np
import pandas as pd
import matplotlib.pyplot as plt
df = pd.DataFrame({'공부시간(x)': [1,2,3,4,5,7,8,10,12,13,14,15,18,20,25,28,30],
'시험점수(t)': [5,7,20,31,40,44,46,49,60,62,70,80,85,91,92,97,98]})
# display(df)
plt.scatter(df['공부시간(x)'], df['시험점수(t)'])
plt.plot(df['공부시간(x)'], 5*df['공부시간(x)']-7, color='y') # y = wx + b 형태의 직선을 그리자
plt.show()

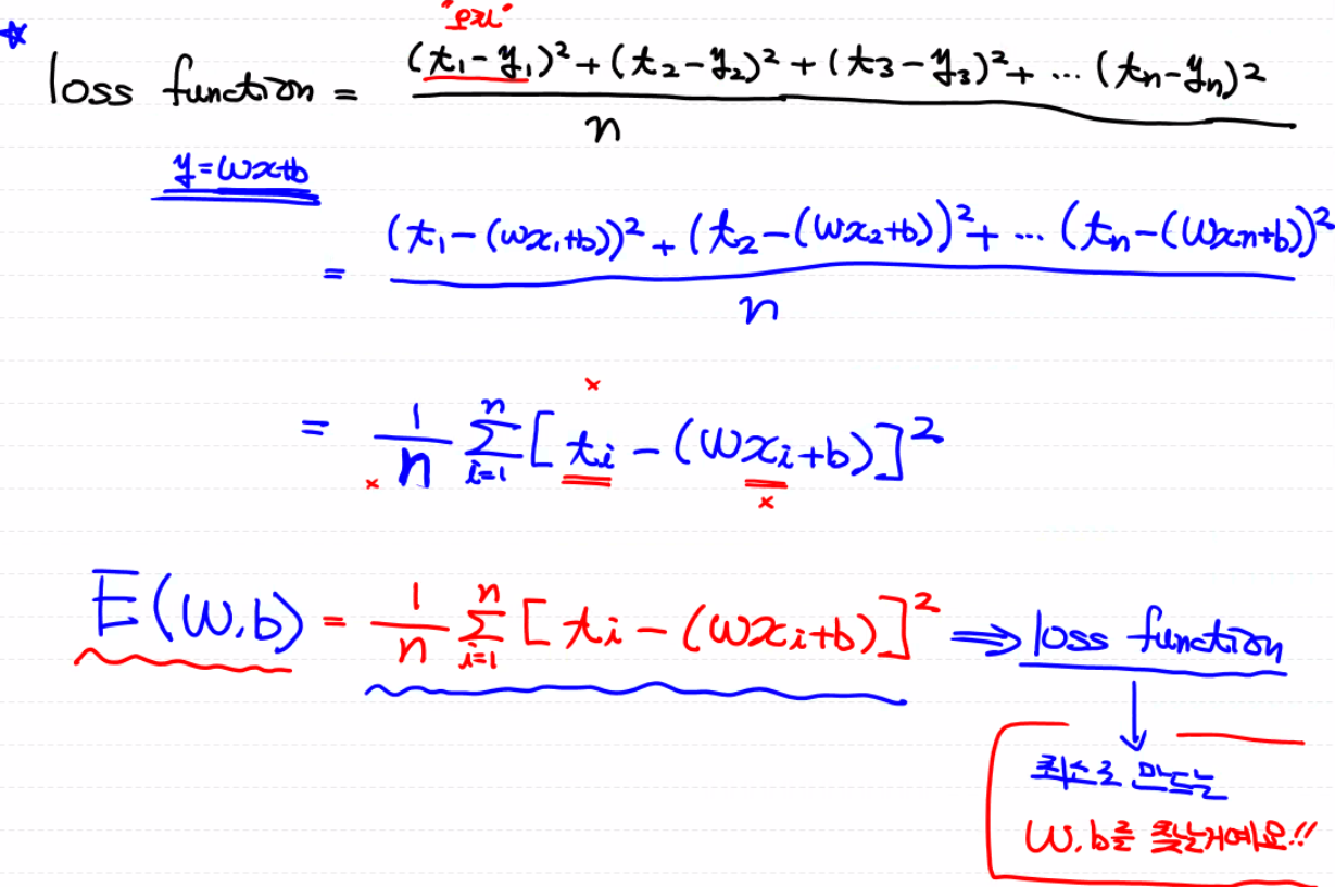
오차(error) : 실제값(정답, t)과 예측값(y)의 차이. Error = t - y = t - (Wx + b). bias는 편차


손실함수 : 평균제곱오차(MSE)를 가장 작게 만드는 W, b를 찾는 방법. 최소제곱법

# y = wx + b에서 b는 상수이기 때문에 실제 loss function 그래프 모양에 크게 영향 주지 않음
# 단순화시키기 위해 y = wx 형태로 loss 함수를 정의하고 그래프 그려보자
import numpy as np
import pandas as pd
import matplotlib.pyplot as plt
x = np.arange(1, 101, 1) # 독립변수
t = np.arange(1, 101, 1) # 실제값(정답)
W = np.arange(-10, 13) # 가중치
loss = []
for tmp in W:
loss.append(np.power(t-tmp*x,2).mean()) # np.power는 제곱
fig = plt.figure()
ax = fig.add_subplot(1,1,1)
ax.plot(W, loss)
plt.show()
loss function의 값이 최소가 되게 하는 W를 구하려면, 경사하강법(Gradient Descent Alogrithm)을 이용!


* 최종

| 1. 3/15 화 | 2. 3/16 수 | 3. 3/17 목 | 4. 3/18 금 | 5. 3/21 월 |
| ML 환경 설정 (아나콘다, 주피터 노트북), Pandas, Numpy, ndarray |
ML Numpy, 행렬곱연산, 전치행렬, iterator, axis, Pandas, Series, DataFrame |
ML Pandas, DataFrame, 함수들 |
ML Pandas, 데이터 분석, 데이터 전처리 |
ML Pandas, 데이터 전처리, 수행평가 |
| 6. 3/22 화 | 7. 3/23 수 | 8. 3/24 목 | 9. 3/25 금 | 10. 3/28 월 |
| ML 데이터 시각화, Matplotlib, 기술통계 |
ML 기술통계 |
ML 기술통계, 머신러닝 |
ML 미분, Regression |
ML 머신러닝 기법들, Regression |
| 11. 3/29 화 | 12. 3/30 수 | 13. 3/31 목 | 14. 4/1 금 | 15. 4/4 월 |
| ML Regression 구현 (Tensorflow, Python) |
* 수식이 만들어지는 구조를 생각하자!
728x90